活性污泥性質的測定實驗指導
污泥比阻(或稱比阻抗)是表示污泥脫水性能的綜合性指標。污泥比阻越大,脫水性能越差,反之脫水性能越好。污泥比阻是單位過濾面積上,單位干重濾餅所具有的阻力,在數值上等于粘滯度為1時,濾液通過單位的泥餅產生單位濾液流率所需要的壓差。在污泥中加入混凝劑、助濾劑等化學藥劑,可使比阻降低,脫水性能改善。
希望通過實驗達到下述目的:
1.通過實驗進一步理解比阻的概念,并掌握測定污泥比阻的實驗方法;
2.掌握用布氏漏斗實驗選擇混凝劑;
3.掌握確定投加混凝劑數量的方法;
4.通過比阻測定評價污泥脫水性能。
二、實驗裝置的工作原理
實驗裝置的組成:
1.真空泵1臺 2.計量筒4個 3.抽氣接管4套 4.布氏漏斗4個
5.吸濾筒1個 6.真空表1只 7.實驗臺架1套 8.連接管道、電源開關等1套
整體外形尺寸:1000mm×400mm×1300mm
每次測定污泥用量50—100ml,真空壓力35.5——70.9 kpa,測定時間20—40min。吸濾筒尺寸:直徑×高度=Φ150mm×250mm
污泥比阻測定裝置示意圖
過濾開始時濾液只需克服過濾介質的阻力,當濾餅逐步形成后,濾液還需克服濾餅本身的阻力。濾餅的性質可分為兩類,一類為不可壓縮性濾餅,如沉砂,初沉池污泥和其它無機污泥;另一類為可壓縮性濾餅,如活性污泥,在壓力的作用下,污泥會變形。
三、實驗步驟
1.測定污泥的含水率,求出其固體濃度C0
2.配制FeCl3(10g/L)混凝劑或聚丙烯酰胺(0.3%)絮凝劑。
3.調節污泥(每組加一種混凝劑),采用FeCl3混凝劑時加量分別為干污泥質量的0(不加混凝劑)、2%、4%、6%、8%、10%;采用聚丙烯酰胺時,投加量分別為干污泥質量的0、0.1%、0.2%、0.5%
再布氏漏斗上(直徑65~80mm)放置濾紙,用水潤濕,貼緊周邊。
4.開動真空泵,調節真空壓力,大約比實驗壓力小1/3.[實驗時真空壓力采用266mmHg(35.46kPa)或532 mmHg(70.93kPa)]時關掉真空泵。
5.加入100mL需實驗的污泥于布氏漏斗中,開動真空泵,調節真空壓力至實驗壓力;開始啟動秒表,并記下開動時計量管內的濾液V0每隔一段時間(開始過濾時可每隔10s或15s,濾速減慢后可每隔30s或60s)記下計量管內相應的濾液量。一直過濾至真空破壞,如真空長時間不破壞,則過濾20min后即可停止。關閉閥門,取下濾餅放入稱量瓶內稱量
6.稱量后的濾餅于105℃的烘箱內烘干稱量
7.計算出濾餅的含水率,求出單位體積濾液的固體量ω
四、相關知識點
1.污泥脫水:將污泥的含水率降低到85%以下的操作叫污泥脫水。污泥經脫水后具有固體特性(成塊或餅狀),并與運輸和最終處理。常用的脫水方法有真空過濾、壓濾、離心等。污泥機械脫水是以過濾介質兩面的壓差作為動力,達到泥水分離和污泥濃縮的目的。
影響污泥脫水的因素較多,主要有:污泥濃度(或含水率)、污泥種類及性質、污泥預處理方法、壓力差、過濾介質種類、性質;
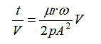
過濾基本方程式為
(式1)式中:t——過濾時間,s
V——濾液體積,m3
P——真空度,Pa
A——過濾面積,m2或cm2
μ——濾液的動力黏滯系數Pa·s
ω——過濾單位體積的濾液在過濾介質上截留的固體質量kg/m3
r——比阻s2/g或m/kg
過濾基本方程式給出了在壓力一定的條件下,濾液的體積與時間t的函數關系,指出了過濾面積A、壓力p、污泥性能ω、γ值對過濾的影響。
2.污泥比阻及其測定方法:污泥比阻r時表示污泥過濾特性的綜合性指標,它的物理意義是單位質量的污泥在一定壓力下過濾時在單位過濾面積上產生的阻力。即單位過濾面積上濾餅單位干重所具有的阻力。求此值的作用是比較不同的污泥(或同一種污泥加入不同量的混凝劑后)的過濾性能。污泥比阻愈大,過濾性能愈差。
將過濾方程改寫為

以抽濾實驗為基礎,測定一系列的t~V數據,即測定不同過濾時間t時濾液量V,并以濾液量V為橫坐標,以t/V為縱坐標,所得直線斜率為b。然后由(式3)即可計算出新測污泥的比阻r。
ω得求法根據所設定義有
(g濾餅干重/mL濾液)(式4)式中:Q0——過濾污泥量,mL
Qy——濾液量,mL
Cb——濾餅固體濃度g/mL
一般認為比阻在109~1010s2/g的污泥難以過濾,比阻小于0.4×109s2/g的污泥容易過濾。
在污泥脫水中,往往要進行化學調理,即采用向污泥中投加混凝劑的方法降低污泥的比阻r值,改善污泥脫水性能。所以,污泥的性質、混凝劑的種類、濃度、投加量以及反應時間等均影響化學調理的效果。在相同實驗條件下,選擇不同的藥劑、投加量和反應時間,通過污泥比阻實驗確定最佳的脫水條件。
五、實驗數據及結果整理
1.測定并記錄實驗基本參數,記錄格式如下:
實驗日期 年 月 日;
原污泥的含水率(%) 原污泥的固體濃度(mg/L)
不加混凝劑的濾餅的含水率(%) 加混凝劑濾餅的含水率(%)
實驗真空度(mmHg)
2.將布氏漏斗實驗所得數據按表記錄并計算
表1 布氏漏斗實驗所得數據記錄表
| 時間/s | 計量管濾液量V’/mL |
濾液量 V=V’-V0/mL |
/(s/mL) |
備注 |
為縱坐標,V為橫坐標作圖,其直線率為
,求得b。4.根據原污泥的含水率及濾餅的含水率求出ω
5.列表計算比阻值
6.以比阻為縱坐標,混凝劑投加量為橫坐標,作圖求最佳投加量。
六、注意事項
1.檢查計量管與布氏漏斗之間是否漏氣
2.濾紙稱量烘干,放到布氏漏斗內,要先用蒸餾水濕潤,而且用真空泵抽吸一下。濾紙要貼緊不能漏氣
3.污泥倒入布氏漏斗內時。有部分濾液流入計量筒,所以正常開始實驗后記錄量筒內濾液體積。
4.污泥中加混凝劑后應充分混合。
5.在整個過濾過程中,真空度確定后始終保持一致。
七、實驗配套設備及儀器(由用戶自行購買)
烘箱、秒表 、快速濾紙、分析天平、混凝劑配制容器、移液管等。
八、說明
吸濾筒作為真空室及盛水之用,用有機玻璃制成,上有真空表和調節閥,下有放空閥。
九、思考題
1.判斷生污泥、消化污泥脫水性能好壞,分析其原因。
2.測定污泥比阻在工程上有何實際意義?
DB-TS/WN 污泥脫水性能測定實驗裝置

設備特點:
1.污泥脫水性能測定實驗裝置布局合理、美觀,結構清晰,整體感強。
2.污泥脫水性能測定實驗裝置管道采用快裝接頭,可對過濾液量筒進行快速拆裝。
實驗目的:
1.掌握用布氏漏斗實驗選擇混凝劑的方法。
2.掌握污泥的最佳混凝劑投加量。
3.可開實驗:污泥比阻測定實驗。
主要配置:
真空泵、計量筒、緩沖罐、布氏漏斗、濾紙、高壓氣管、排空閥、不銹鋼框架。
技術參數:
1.環境溫度:5℃~40℃,配電:220V,180W。
2.計量筒:尺寸Φ40×350mm,厚度5mm,優質有機玻璃。
3.緩沖罐:尺寸Φ100×300mm,厚度5mm,優質有機玻璃。
4.布氏漏斗:加入污泥量:100ml,4個。
5.循環水真空泵:功率:180W,單頭抽氣量:10L/min,最大真空度:0.098Mpa。
6.框架為304不銹鋼,結構緊湊,外形美觀,操作方便。
7.外形尺寸:1000×420×1100mm,框架為可移動式設計,帶腳輪及禁錮腳。
1.污泥脫水性能測定實驗裝置布局合理、美觀,結構清晰,整體感強。
2.污泥脫水性能測定實驗裝置管道采用快裝接頭,可對過濾液量筒進行快速拆裝。
實驗目的:
1.掌握用布氏漏斗實驗選擇混凝劑的方法。
2.掌握污泥的最佳混凝劑投加量。
3.可開實驗:污泥比阻測定實驗。
主要配置:
真空泵、計量筒、緩沖罐、布氏漏斗、濾紙、高壓氣管、排空閥、不銹鋼框架。
技術參數:
1.環境溫度:5℃~40℃,配電:220V,180W。
2.計量筒:尺寸Φ40×350mm,厚度5mm,優質有機玻璃。
3.緩沖罐:尺寸Φ100×300mm,厚度5mm,優質有機玻璃。
4.布氏漏斗:加入污泥量:100ml,4個。
5.循環水真空泵:功率:180W,單頭抽氣量:10L/min,最大真空度:0.098Mpa。
6.框架為304不銹鋼,結構緊湊,外形美觀,操作方便。
7.外形尺寸:1000×420×1100mm,框架為可移動式設計,帶腳輪及禁錮腳。

/(s/mL)
