可控脈沖發生器的設計
一、實驗目的1、了解可控脈沖發生器的實現機理。
2、學會用示波器觀察FPGA產生的信號。
3、學習用VHDL編寫復雜功能的代碼。
二、實驗原理
脈沖發生器就是要產生一個脈沖波形,而可控脈沖發生器則是要產生一個周期和占空比可變的脈沖波形。可控脈沖發生器的實現原理比較簡單,可以簡單的理解為一個計數器對輸入的時鐘信號進行分頻的過程。通過改變計數器的上限值來達到改變周期的目的,通過改變電平翻轉的閾值來達到改變占空比的目的。下面舉個簡單的例子來說明其工作原理。
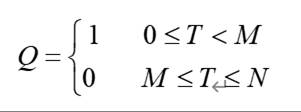
假如有一個計數器T對時鐘分頻,其計數的范圍是從0~N,另取一個
M(0≤M≤N),若輸出為Q,那么Q只要滿足條件

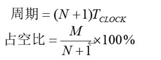
時,通過改變N值,即可改變輸出的脈沖波的周期;改變M值,即可改變脈沖波的占空比。這樣輸出的脈沖波的周期和占空比分別為:

三、實驗內容
本實驗的任務就是要設計一個可控的脈沖發生器,要求輸出的脈沖波的周期和占空比都可變。具體的實驗過程中,時鐘信號選用時鐘模塊中的1.5MHz時鐘,然后再用按鍵模塊的BT1和BT2來控制脈沖波的周期,每按下BT1,N會在慢速時鐘作用下不斷地遞增1,按下BT2,N會在慢速時鐘作用下不斷地遞減1;用BT3和BT4來控制脈沖波的占空比,每按下BT3,M會在慢速時鐘作用下不斷地遞增1,每按下BT4,M會在慢速時鐘作用下不斷地遞減1,BT8用作復位信號,當按下BT8時,復位FPGA內部的脈沖發生器模塊。脈沖波的輸出直接從FPGA的IO端口輸出用示波器觀察輸出波形的改變。
四、實驗步驟
1、打開QUARTUSII軟件,新建一個工程。
2、建完工程之后,再新建一個VHDL File,打開VHDL編輯器對話框。
3、按照實驗原理和自己的想法,在VHDL編輯窗口編寫VHDL程序,用戶可參照光盤中提供的示例程序。
4、編寫完VHDL程序后,保存起來。方法同實驗一。
5、對自己編寫的VHDL程序進行編譯并仿真,對程序的錯誤進行修改。
6、編譯仿真無誤后,根據用戶自己的要求進行管腳分配。分配完成后,再進行全編譯一次,以使管腳分配生效。
7、根據實驗內容用實驗導線將上面管腳分配的FPGA管腳與對應的模塊連接起來。
如果是調用的本書提供的VHDL代碼,則實驗連線如下:
CLK:FPGA時鐘輸入信號,接數字時鐘CLOCK1并將時鐘設為1 .5MHZ。
RST:復位輸入信號,接一個按鍵開關BT8。
NU、ND:控制頻率的輸入信號,接兩個按鍵開關BT1、BT2。
MU、MD:控制占空比的輸入信號,接兩個按鍵開關BT3、BT4。
FOUT:信號發生器的信號輸出,接一個FPGA的IO端口。
8、用下載電纜通過JTAG口將對應的sof文件加載到FPGA中。觀察實驗結果是否與自己的編程思想一致。
五、實驗結果與現象
以設計的參考示例為例,當設計文件加載到目標器件后,按下按鍵開關模塊的BT8按鍵,在輸出的FPGA IO通過示波器可能觀測到一個頻率約為1KHZ、占空比為50%的矩形波。按下BT1鍵或者BT2鍵,這個矩形波的頻率會發生相應的增加或者減少。按下BT3鍵或者BT4鍵,這個矩形波的占空比會相應的增加或減少。
六、實驗報告
1、繪出仿真波形,并作說明。
2、在這個實驗的基礎上重新設計,使程序改變頻率的時候不會影響占空比的改變。
3、將實驗原理、設計過程、編譯仿真波形和分析結果、硬件測試結果記錄下來。


